Info Sekolah
Sabtu, 18 Apr 2026
  • Pesantren Darul Muttaqien: Satu dalam aqidah, toleransi dalam khilafiyah, berjama'ah dalam ibadah dan muamalah.
  • Pesantren Darul Muttaqien: Satu dalam aqidah, toleransi dalam khilafiyah, berjama'ah dalam ibadah dan muamalah.
15 Maret 2020

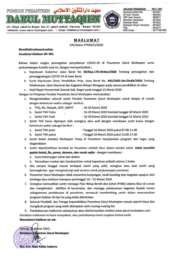
Surat Keputusan Menyikapi Virus Covid-19

Ming, 15 Maret 2020 Dibaca 2322x


 

Artikel ini memiliki

0 Komentar

Tinggalkan Komentar

 

Sekilas Darul Muttaqien

Pondok Pesantren Darul Muttaqien terletak di wilayah desa Jabon Mekar Kecamatan Parung Kabupaten Bogor Jawa Barat. Resmi didirikan pada tanggal 18 Juli 1988 M.

Agenda

15
Mar 2025
waktu : 07:00
Agenda telah lewat
01
Mar 2025
waktu : 07:00
Agenda telah lewat
26
Des 2024
waktu : 07:00
Agenda telah lewat